Icône menu hamburger Icône loupe de recherche
  1. TDN >
  2. Santé

Covid-19 : mauvaise nouvelle si vous fréquentez les bars et restaurants

Publié par Quentin VIALLE le 15 Sep 2020 à 20:19

Restaurants et bars seraient, d’après une étude, des lieux fortement propices à la contamination par le Covid-19. En effet, des épidémiologistes américains ont cherché à déterminer, chez des individus symptomatiques, quelles avaient été les activités auxquelles ils avaient participé au cours des deux dernières semaines. Les détails de cette étude ci-dessous avec le Tribunal Du Net.

La suite après cette publicité

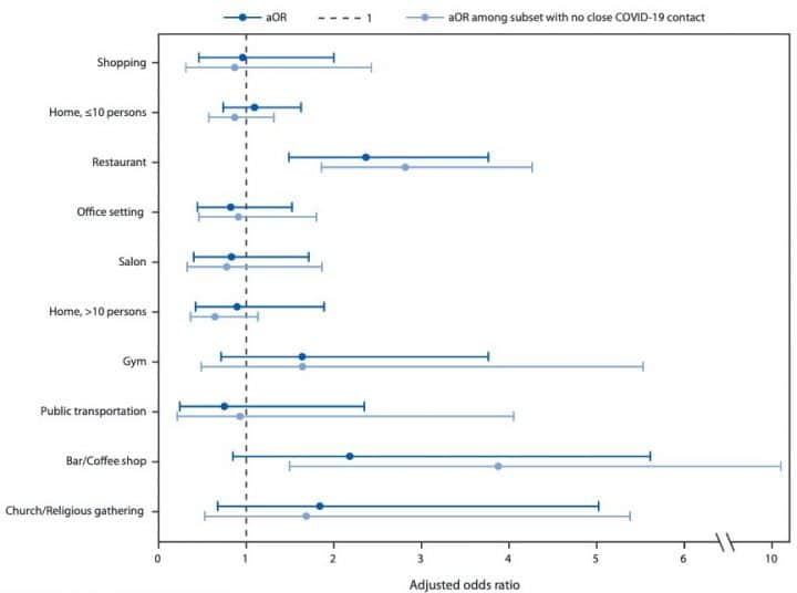
Retracer l’itinéraire des participants

Les scientifiques des Centres de prévention et de lutte contre les maladies ont questionné environ 300 personnes venues se faire tester en juillet dans plusieurs hôpitaux américains. La moitié étaient positifs, l’autre moitié sont des personnes dont le test est revenu négatif. L’objectif de cette étude était de comparer la fréquence des expositions potentiellement contaminantes dans un groupe de patients trouvés positifs au Covid-19 (test PCR) et dans un groupe de sujets témoins dans la mesure où ils avaient été testés négatifs au coronavirus.

La vidéo du jour à ne pas manquer

À lire aussi >>> Reconfinements, fermeture des restaurants ? Que va annoncer le gouvernement demain ? 

À lire aussi

La suite après cette publicité

Contamination : les bars et restaurants mis en avant

L’analyse statistique sur l’ensemble des participants démontre que les personnes infectées ont rapporté 2,4 fois plus souvent que les autres avoir dîné dans un restaurant durant les 14 jours précédant le début des symptômes. Par ailleurs, les experts se sont rendu compte que les participants positifs et négatifs disaient porter le masque dans des proportions équivalentes et ne différaient pas dans leurs comportements pour l’ensemble des lieux, sauf deux : les bars et les restaurants. De plus, les cas positifs ont déclaré 3,9 fois plus souvent que les individus non infectés par le Covid-19 être allé dans un bar ou un café.

étude

« Des précautions devraient être prises »

La suite après cette publicité

En conclusion de leur étude, les experts scientifiques déclarent que « les expositions et activités lors desquelles le port du masque et la distanciation physique sont difficiles à maintenir, notamment dans des endroits où l’on mange et l’on boit sur place, pourraient constituer d’importants facteurs de risque pour contracter une infection par le SARS-CoV-2« .

À lire aussi

Toujours dans l’attente d’un « plan d’action » en France suite aux déclarations du Premier ministre, le préfet de la région de Guadeloupe a annoncé de nouvelles mesures vendredi dernier. Notamment pour les bars et les restaurants, qui ne pourront plus « accueillir de public à compter de 22 heures en semaine et à compter de minuit du jeudi soir au samedi soir inclus« .

À lire aussi >>> Covid-19 : les cas explosent, ce seuil de contamination n’avait pas été atteint depuis mi-avril ! 

La suite après cette publicité

Rejoignez nos 875 726 abonnés en recevant notre newsletter gratuite

N'oubliez pas de cliquer sur l'email de validation pour confirmer votre adresse email. Si vous ne l'avez pas recu vérifiez dans vos spams.

Laissez un commentaire

Votre adresse e-mail ne sera pas publiée. Les champs obligatoires sont indiqués avec *